Pollution de l’air en Europe : le LCSQA, partenaire d’un état des lieux inédit d’une nouvelle mesure de l’exposition aux particules

Date
Image

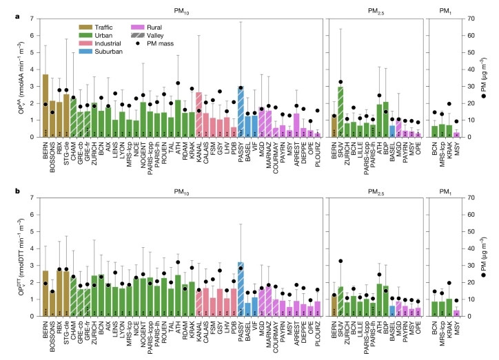
Une étude sans précédent menée sur 43 sites de mesure européens par une équipe scientifique internationale coordonnée par l’Institut des Géosciences de l’Environnement (IGE) révèle dans la revue Nature, ce 22 octobre 2025, que la capacité des particules en suspension à générer du stress oxydatif dans les poumons (le potentiel oxydant, PO), varie en fonction des types d’environnement (urbain, rural, industriel, etc.) et de leurs sources d’émission. En particulier, ce stress oxydatif peut être jusqu’à trois fois plus élevé dans les zones urbaines à fort trafic routier qu’en zone rurale. Ces résultats fournissent un appui scientifique concret pour définir de futures normes européennes et pour guider les politiques de santé publique.

Pour la France, cette étude s’est notamment appuyée sur des travaux de l’observatoire national de la composition chimique et des sources de particules fines en milieu urbain (programme CARA : https://www.lcsqa.org/fr/le-dispositif-cara) du dispositif national de surveillance de la qualité de l’air, coordonné par l’Ineris en tant que membre du LCSQA. Cet observatoire, mis en place en 2008, répond au besoin de compréhension et d'information sur la nature et l’origine des particules fines. Il est basé sur une collaboration étroite entre le LCSQA et les Associations agréées de surveillance de la qualité de l’air, en charge notamment de la collecte de filtres sur différentes stations du dispositif national. Ces filtres sont ensuite stockés dans la filtrothèque de l’Ineris dans des conditions de conservation permettant de garantir l’intégrité des échantillons, jusqu’à leur analyse.

En savoir plus sur l'étude : https://www.nature.com/articles/s41586-025-09666-9

 

Contact
olivier.favez@ineris.fr
marc.durif@ineris.fr

Source URL: https://www.lcsqa.org/actualite/pollution-de-lair-en-europe-le-lcsqa-partenaire-dun-etat-des-lieux-inedit-dune-nouvelle